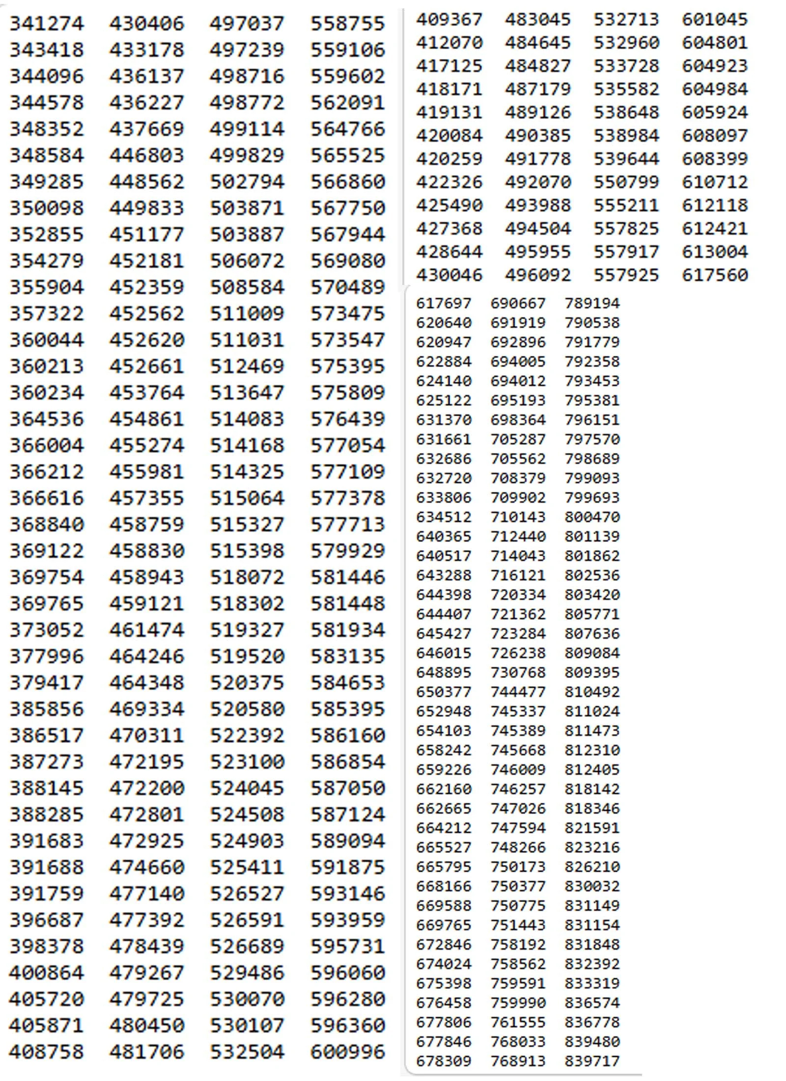
تفصیلات کے مطابق 40 ہزار روپے مالیت کے پریمیئم پرائز بانڈز کی 36 ویں قرعہ اندازی راولپنڈی میں منعقد ہوئی۔ اس قرعہ اندازی میں پہلا انعام بانڈ نمبر 367558 نے اپنے نام کیا، جس کی مالیت 8 کروڑ روپے ہے۔ جبکہ دوسرا انعام تین خوش نصیبوں کے حصے میں آیا، جن کے بانڈ نمبرز 8556267، 676830 اور 855627 ہیں۔ ان میں سے ہر ایک کے لیے 3 کروڑ روپے کی انعامی رقم مقرر کی گئی ہے۔ اس کے علاوہ تیسرے انعام کے تحت 5 لاکھ روپے کے متعدد انعامات بھی رکھے گئے ہیں۔
یہ بھی پڑھیں: حکومت کا موٹرسائیکل سواروں کو پیٹرول مفت دینے کا اعلان
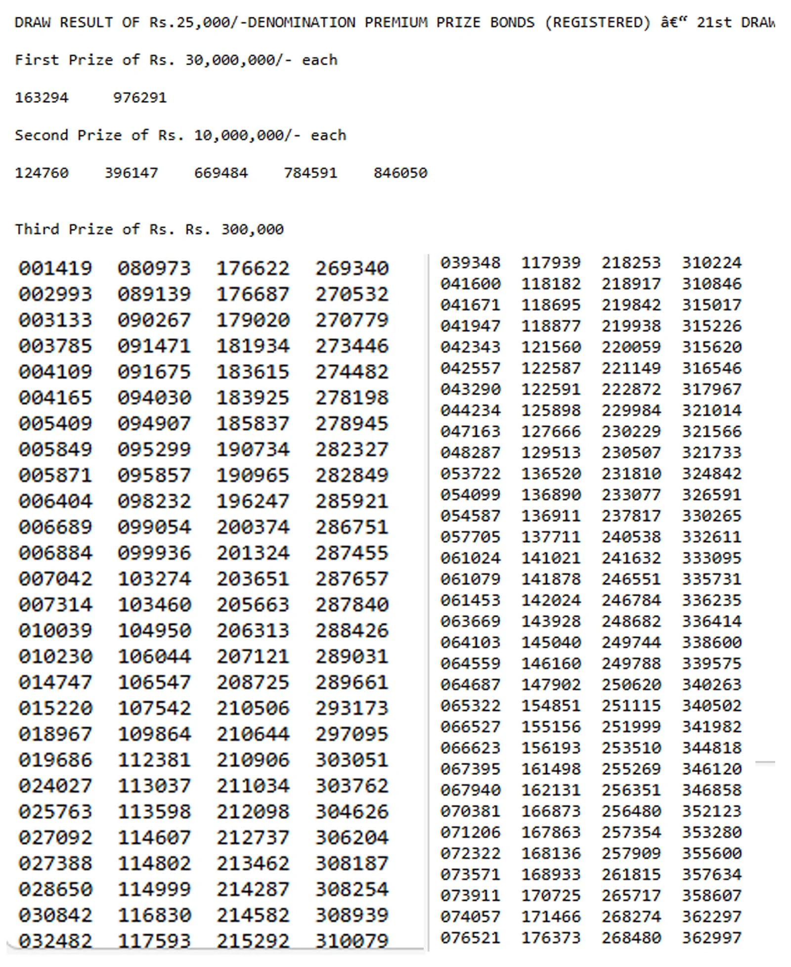
اسی طرح 25 ہزار روپے مالیت کے پرائز بانڈز کی 21 ویں قرعہ اندازی ملتان میں منعقد ہوئی۔ اس قرعہ اندازی میں پہلا انعام دو خوش نصیب افراد نے جیتا، جن کے بانڈ نمبرز 163294 اور 976292 ہیں۔ دونوں کامیاب بانڈ ہولڈرز نے 3،3 کروڑ روپے کی خطیر رقم اپنے نام کی۔



25 ہزار روپے کے پرائز بانڈز میں دوسرا انعام پانچ افراد کو ملا، جن کے بانڈ نمبرز 124760، 396147، 669484، 784591 اور 846050 ہیں۔ ان خوش نصیبوں کے لیے ایک، ایک کروڑ روپے کی انعامی رقم مقرر کی گئی ہے۔ جبکہ تیسرے انعام کے تحت 3 لاکھ روپے کے متعدد انعامات بھی شامل ہیں۔



اسٹیٹ بینک آف پاکستان نے ہدایت کی ہے کہ تمام کامیاب بانڈ ہولڈرز اپنی انعامی رقم وصول کرنے کے لیے متعلقہ بینک یا پرائز بانڈ دفاتر سے رجوع کریں۔ بینک کے مطابق انعامی رقم کی ادائیگی مقررہ ضابطہ کار کے مطابق کی جائے گی، جبکہ مزید معلومات اور رہنمائی کے لیے اسٹیٹ بینک کی ہیلپ لائن سے بھی رابطہ کیا جا سکتا ہے۔